(1) Một triệu tỷ đồng đang kẹt ở NHNN của chính phủ Nền kinh tế đang trì trệ hiện hữu. Thúc đẩy giải ngân một triệu tỷ đồng tồn đọng từ 2019 là một trọng tâm quan trọng 2023-2025....
Bài viết chia sẻ
Lãi suất đã và đang giảm rất mạnh trong thời gian ngắn. Xu hướng này là không thể đảo ngược. Một tín hiệu tích cực cho kinh tế vĩ mô Sau cuộc họp NHNN với các ngân...
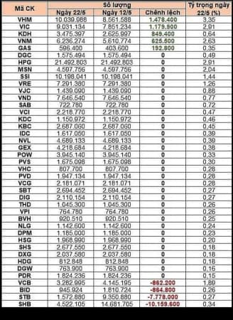
Hiện nay STB rất nóng trong việc hoàn thành tái cơ cấu. Là một cổ phiếu Bluechip lớn trong VN30. Sức hấp dẫn của nó càng về cuối năm càng nóng. Hai phiên...
(1) Tất cả các quỹ ETF hoặc sao chép bộ chỉ số đều phải bán ra STB. Đến ngày 22/5/2023 là gần như toàn bộ các quỹ đã bán hết. Như vậy STB hầu hết các ETF không...
TTCK - VN-Index, Hội nhà đầu tư chuyên nghiệp. Viện cổ phiếu. Sách tầm soát cổ phiếu. (Đây là bài viết dài và chỉ dành cho những người đầu tư nghiêm...
Một loại Bluechip không còn tăng trưởng. Nó cũng giống như cây cổ thụ trong rừng già. Tìm đường tăng trưởng trở nên cực kỳ khó khăn. Rõ ràng nhiều năm trôi qua lợi...
Nhà đầu tư trước chân một con sóng dài 2024-2026
Ngân hàng Nhà nước vừa thông báo 2 Quyết định có hiệu lực từ ngày 25/5/2023, gồm: Quyết định số 950/QĐ-NHNN ngày 23 tháng 5 năm 2023 về lãi suất...
VN-Index đang tích lũy mạnh Những phiên gần đây dòng tiền duy trì cao và đều. Lực cầu cao làm cho VN-Index rất khó giảm. Trước bối cảnh nền kinh tế đang...

